icon icon Home
icon icon Accounts
icon icon Quick start
icon icon Symbols

چرا ارزش پول امروز با فردا یکسان نیست؟ نگاهی تحلیلی به مفهوم ارزش زمانی پول

نویسنده
مسعود جزینی
مسعود جزینی
calendar آخرین بروزرسانی: 15 بهمن 1404
watch زمان مطالعه 1 دقیقه

تصور کنید کسی پیشنهاد می‌دهد ۱۰۰ میلیون تومان را یا امروز بگیرید یا دقیقاً یک سال بعد. تقریباً همه گزینه اول را انتخاب می‌کنند، چون پول فعلی فرصت رشد و سرمایه‌گذاری دارد، در حالی که پول آینده ممکن است بخشی از ارزش خود را از دست بدهد. این تفاوت دقیقاً به مفهوم ارزش زمانی پول برمی‌گردد که نشان می‌دهد یک مبلغ امروز همیشه ارزشمندتر از همان مبلغ در آینده است.

در این مقاله، با مثال‌های ساده به سراغ ارزش فعلی پول (PV) و ارزش آتی پول (FV) پول می‌رویم و فرمول‌های کاربردی برای محاسبه آنها را قدم به قدم توضیح می‌دهیم.

bookmark
نکات کلیدی
  • پول امروز بیشتر از همان مبلغ در آینده ارزش دارد؛ این اصل اساسی ارزش زمانی پول است که در تصمیم‌گیری‌های مالی و سرمایه‌گذاری به کار می‌آید.
  • نرخ سود و زمان از عوامل تعیین‌کننده در ارزش پول هستند؛ پولی که در طول زمان سرمایه‌گذاری می‌شود، با توجه به نرخ سود و مدت زمان می‌تواند ارزش بیشتری پیدا کند.
  • تحلیل ارزش زمانی پول به ما کمک می‌کند تصمیمات بهتری در زمینه سرمایه‌گذاری و پس‌انداز بگیریم؛ با محاسبه ارزش فعلی و ارزش آتی پول، می‌توان گزینه‌های مختلف مالی را مقایسه کرد.

ارزش زمانی پول چیست؟

یکی از اصول کلیدی در امور مالی، مفهومی است که به آن ارزش زمانی پول می‌گویند. این مفهوم به این معنا است که یک مبلغ پول در حال حاضر، ارزش بیشتری نسبت به همان مبلغ در آینده دارد، زیرا پول امروز می‌تواند سرمایه‌گذاری شود و سود کسب کند.

منابع معتبر مانند Investopedia و Corporate Finance Institute تأکید می‌کنند که پول فعلی فرصت رشد از طریق سود مرکب را دارد، در حالی که پول آینده این فرصت را از دست می‌دهد و همچنین ممکن است تحت تأثیر تورم یا ریسک قرار گیرد.

چرا ارزش پول امروز با فردا یکسان نیست؟ 

دلیل اصلی، پتانسیل کسب بازده است. برای مثال، اگر امروز ۱۰۰ میلیون تومان داشته باشید، می‌توانید آن را سرمایه‌گذاری کنید و با نرخ سود مناسب، در آینده مبلغ بیشتری به دست آورید. اما اگر همان مبلغ را در آینده دریافت کنید، فرصت رشد را از دست داده‌اید. علاوه بر این، تورم قدرت خرید را کاهش می‌دهد و ریسک عدم دریافت پول آینده نیز ارزش آن را کمتر می‌کند.

ارتباط زمان، سود و ارزش پول بسیار تنگاتنگ است. زمان بیشتر اجازه می‌دهد سود مرکب بهتر عمل کند و ارزش پول را به طور نمایی افزایش دهد. فرمول ارزش زمانی پول دقیقاً بر پایه این ارتباط ساخته شده و به ما امکان می‌دهد ارزش فعلی یا آتی را محاسبه کنیم که این موضوع پایه بسیاری از تصمیمات مالی هوشمندانه است. در بخش‌های بعدی، این فرمول‌ها را با مثال‌های کاربردی بررسی خواهیم کرد.

ارزش زمانی پول
sms-star

پول فقط یک واحد عددی نیست، بلکه یک ابزار اقتصادی است که بسته به زمان دریافت آن می‌تواند فرصت‌های سرمایه‌گذاری متفاوتی ایجاد کند. یعنی ارزش پول به زمان بستگی دارد و این اصل است که به‌ عنوان مبنای بسیاری از تصمیمات مالی و سرمایه‌گذاری قرار می‌گیرد.

تفاوت ارزش اسمی پول و ارزش واقعی پول

برای درک بهتر اینکه ارزش زمانی پول چیست، لازم است تفاوت بین ارزش اسمی و ارزش واقعی پول را به خوبی بشناسیم. ارزش اسمی پول (Nominal Value) به مقدار عددی و ظاهری پول اشاره دارد که بدون توجه به تغییرات قدرت خرید یا عوامل خارجی مانند تورم محاسبه می‌شود. مثلاً اگر سرمایه‌ای 70 میلیون تومان باشد، این مبلغ دقیقاً ارزش اسمی آن است و فقط صورت عددی را نشان می‌دهد.

در مقابل، ارزش واقعی پول (Real Value) قدرت خرید واقعی را اندازه‌گیری می‌کند و با تعدیل اثرات تورم، ارزش پول را در شرایط مختلف زمانی مقایسه‌پذیر می‌سازد. منابع معتبر مثل Khan Academy توضیح می‌دهند که ارزش واقعی، مبلغ اسمی را برای افزایش سطح قیمت‌ها تنظیم می‌کند تا تصویر دقیق‌تری از تغییرات واقعی ثروت یا درآمد ارائه دهد.

تورم عامل اصلی تفاوت بین این دو نوع ارزش است. هرچقدر که تورم بیشتر باشد، قدرت خرید پول کاهش می‌یابد و در نتیجه، ارزش واقعی پول نسبت به ارزش اسمی آن پایین‌تر می‌آید. به همین دلیل، برای ارزیابی دقیق‌تر سرمایه‌گذاری‌ها و تصمیمات مالی، باید از مفاهیم ارزش زمانی پول و تفاوت بین این دو استفاده کنیم تا بتوانیم اثرات تغییرات اقتصادی را در نظر بگیریم و تصمیمات بهتری بگیریم.

ویژگیارزش اسمی پولارزش واقعی پول
تعریفمبلغ نوشته‌شده روی اسکناس یا سندارزش پول پس از تعدیل اثرات تورم
نحوه محاسبههمان مقدار عددی ذکر شدهبا در نظر گرفتن تغییرات قیمت‌ها و تورم
هدف استفادهبرای تصمیمات کوتاه‌مدت و فوریبرای ارزیابی قدرت خرید و تصمیمات بلندمدت
تأثیر تورمبدون تغییر با تورمکاهش می‌یابد با افزایش تورم
کاربردبرای محاسبات ساده و فوریبرای ارزیابی ارزش پول در آینده و مقایسه خرید قدرت
sms-star

ارزش واقعی پول نشان‌دهنده قدرت خرید آن است و همیشه باید نسبت به ارزش اسمی آن اصلاح شود تا تاثیر تغییرات قیمت‌ها و شرایط اقتصادی دیده شود.

عوامل مؤثر بر ارزش زمانی پول

ارزش زمانی پول تحت تأثیر عوامل کلیدی قرار می‌گیرد که هر کدام به نوعی ارزش پول را در طول زمان تغییر می‌دهند. این عوامل شامل موارد زیر می‌شوند:

  • نرخ بهره و سود مرکب و تأثیر آن بر ارزش پول؛
  • نقش تورم در کاهش قدرت خرید پول؛
  • ریسک و عدم قطعیت در دریافت پول آینده؛
  • هزینه فرصت و ارتباط آن با TVM.

در ادامه، هر یک از موارد فوق را شرح می‌دهیم.

نرخ بهره و سود مرکب و تأثیر آن بر ارزش پول

نرخ بهره یکی از مهم‌ترین عواملی است که باعث افزایش یا کاهش ارزش زمانی پول می‌شود. وقتی پولی با نرخ بهره مشخص در حسابی سرمایه‌گذاری می‌شود، در طول زمان ارزش آن افزایش می‌یابد. در سود ساده، فقط مبلغ اصلی مورد بهره قرار می‌گیرد، اما در سود مرکب، هم اصل پول و هم سودهای قبلی مورد بهره قرار می‌گیرند که منجر به رشد سریع‌تر پول می‌شود.

برای مثال، اگر ۱۰۰ دلار با نرخ بهره ۱۰٪ در یک سال سرمایه‌گذاری شود، در پایان سال به ۱۱۰ دلار تبدیل خواهد شد در حالی که در سود مرکب این مبلغ بیشتر از ۱۱۰ دلار خواهد شد چون سود سال اول هم در سال دوم سود می‌دهد. این موضوع نشان می‌دهد که فرمول ارزش زمانی پول چگونه به ما کمک می‌کند تا این تأثیرات را محاسبه کنیم.

نقش تورم در کاهش قدرت خرید پول

تورم به معنای افزایش مداوم قیمت‌ها در اقتصاد است که باعث می‌شود قدرت خرید پول در آینده کاهش یابد. به عبارت دیگر، پولی که امروز می‌تواند مقدار مشخصی از کالا و خدمات را خریداری کند، در آینده به دلیل تورم قدرت خرید کمتری خواهد داشت.

این مسئله، یکی از دلایل مهم برای تفاوت بین ارزش اسمی و واقعی پول است. در نتیجه، باید همیشه اثرات تورم را در تحلیل‌های مالی و سرمایه‌گذاری‌ها در نظر بگیریم تا بتوانیم ارزش واقعی پول را در طول زمان بسنجیم.

ریسک و عدم قطعیت در دریافت پول آینده

یکی از عوامل دیگری که بر ارزش زمانی پول تأثیر می‌گذارد، ریسک و عدم قطعیت در دریافت پول در آینده است. ممکن است شما امروز پولی را دریافت کنید، اما در آینده به دلیل شرایط اقتصادی یا تغییرات بازار نتوانید آن مبلغ را به‌ طور کامل دریافت کنید.

این امر باعث می‌شود که پول امروز به‌ مراتب امن‌تر از پول آینده باشد. به همین دلیل است که در محاسبه ارزش فعلی و آتی پول باید ریسک‌ها و عدم قطعیت‌ها را در نظر بگیریم تا ارزش واقعی یک جریان نقدی در آینده را به‌ درستی ارزیابی کنیم.

هزینه فرصت و ارتباط آن با TVM

هزینه فرصت به این معنی است که وقتی انتخاب می‌کنید پول خود را در آینده دریافت کنید، فرصتی برای استفاده از آن در سرمایه‌گذاری یا رشد آن از دست می‌دهید. این موضوع ارتباط مستقیم با ارزش زمانی پول دارد، زیرا پول امروز می‌تواند در فرصت‌های مختلف سرمایه‌گذاری شده و بازده بالاتری تولید کند. 

به همین دلیل است که انتخاب دریافت پول امروز به‌ جای فردا، نوعی هزینه فرصت محسوب می‌شود، زیرا شما فرصت کسب بازده بیشتر را از دست نمی‌دهید.

sms-star

هرچه عدم قطعیت در آینده و ریسک‌های اقتصادی بیشتر شود، ارزش پول امروز نسبت به آینده افزایش می‌یابد، زیرا سرمایه‌گذار ترجیح می‌دهد پول را دریافت کرده و مدیریت ریسک کند یا آن را در گزینه‌های امن‌تر سرمایه‌گذاری نماید.

ارزش فعلی پول (Present Value) چیست؟

ارزش فعلی پول (Present Value یا به اختصار PV) یکی از مفاهیم اصلی در ارزش زمانی پول است و نشان می‌دهد که یک مبلغ مشخص در آینده، دقیقاً چقدر در حال حاضر ارزش دارد. منابع مختلف توضیح می‌دهند که برای محاسبه ارزش فعلی پول، مبلغ آینده را با نرخ تخفیف (که معمولاً نرخ بهره یا بازده مورد انتظار است) به ارزش امروز تبدیل می‌کنیم.

دلیل این کار ساده است: پول امروز می‌تواند سرمایه‌گذاری شود و رشد کند، بنابراین مبلغ آینده باید تخفیف بخورد تا معادل ارزش فعلی آن به دست آید.

این مفهوم کاربردهای گسترده‌ای دارد، از جمله در ارزیابی پروژه‌های سرمایه‌گذاری، مقایسه گزینه‌های مالی مختلف و حتی تصمیم‌گیری‌های شخصی مانند انتخاب بین دریافت پول فوری یا تأخیری. با استفاده از ارزش فعلی پول، می‌توانید ریسک، تورم و فرصت‌های از دست رفته را در نظر بگیرید و گزینه‌ای را انتخاب کنید که واقعاً سودآورتر است.

چرا ارزش پول امروز با فردا یکسان نیست؟ نگاهی تحلیلی به مفهوم ارزش زمانی پول

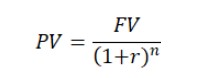
فرمول محاسبه ارزش فعلی پول (PV)

در این بخش به فرمول محاسبه ارزش فعلی پول (PV) می‌پردازیم که یکی از اصول کلیدی در ارزش زمانی پول است. این فرمول به ما کمک می‌کند تا ارزش پول در آینده را به ارزش کنونی یا ارزش فعلی پول تبدیل کنیم. فرمول اصلی برای محاسبه ارزش فعلی پول به صورت زیر است:

ارزش زمانی پول

 در این فرمول:

  •   FV (مقدار آینده) به معنای پولی است که قرار است در آینده دریافت کنیم.
  •   r (نرخ بازده) نرخ تخفیف یا بازدهی است که بر اساس آن پول آینده را به ارزش امروز تبدیل می‌کنیم.
  •       n (تعداد دوره‌ها) نشان‌دهنده تعداد دوره‌های زمانی است که تا دریافت پول باقی‌مانده است، به‌ طور معمول به سال‌ها اشاره دارد.

این فرمول به‌ طور معمول برای ارزیابی جریان‌های نقدی آینده استفاده می‌شود تا بفهمیم که امروز چه مقدار پول باید سرمایه‌گذاری کنیم تا به یک مقدار مشخص در آینده برسیم.

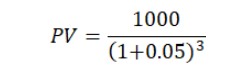
مثال کاربردی

فرض کنید قرار است ۱۰۰۰ دلار در ۳ سال آینده دریافت کنید و نرخ بازده یا نرخ تخفیف سالانه ۵٪ باشد. با استفاده از فرمول ارزش فعلی، محاسبه می‌کنیم که:

چرا ارزش پول امروز با فردا یکسان نیست؟ نگاهی تحلیلی به مفهوم ارزش زمانی پول

که نتیجه آن تقریباً ۸۶۳.۸۸ دلار می‌شود. این یعنی ۱۰۰۰ دلار که قرار است در آینده دریافت کنید، از نظر ارزش امروز معادل ۸۶۳.۸۸ دلار است.

sms-star

نکات محاسباتی

  • با افزایش نرخ بازده (r)، ارزش فعلی پول کمتر می‌شود، زیرا پول در آینده به نسبت امروز کمتر ارزش خواهد داشت.
  • همچنین با افزایش مدت زمان (n)، اثر کاهش ارزش پول در طول زمان بیشتر می‌شود و بنابراین ارزش فعلی پول کاهش می‌یابد.

ارزش آتی پول (Future Value) چیست؟

ارزش آتی پول به این معنی است که پولی که امروز دارید می‌تواند در آینده بیشتر ارزش پیدا کند. این افزایش ارزش به دلیل کسب سود مرکب است. وقتی شما پول را سرمایه‌گذاری می‌کنید، نه تنها بر اصل پول بلکه بر سود آن نیز سود تعلق می‌گیرد. این رشد تدریجی باعث می‌شود که ارزش آتی پول در طول زمان بیشتر شود.

برای مثال، فرض کنید امروز ۱۰۰۰ دلار دارید و این پول را با نرخ سود ۵٪ در یک حساب پس‌انداز سرمایه‌گذاری می‌کنید. در پایان سال اول، شما ۵۰ دلار سود می‌کنید و موجودی شما به ۱۰۵۰ دلار می‌رسد. در سال دوم، سود شما نه تنها بر ۱۰۰۰ دلار اولیه، بلکه بر ۱۰۵۰ دلار نیز اعمال می‌شود.

این یعنی پول شما به‌طور تصاعدی رشد می‌کند. این مفهوم را می‌توان با استفاده از فرمول ارزش زمانی پول محاسبه کرد که به ما نشان می‌دهد در نهایت، پول امروز چقدر در آینده بیشتر خواهد شد.

sms-star

ارزش آتی پول نشان‌دهنده «توان رشد پول» است و با توجه به ترکیب سود در طول زمان به‌طور نمایی افزایش می‌یابد.

کاربرد ارزش آتی پول (FV) در پس‌انداز و سرمایه‌گذاری بلند مدت

ارزش آتی پول (FV) یکی از مفاهیم مهم در برنامه‌ریزی مالی است که به شما کمک می‌کند بدانید پولی که امروز پس‌انداز می‌کنید در آینده چقدر ارزش خواهد داشت. این مفهوم به ویژه در اهداف بلند مدت مانند بازنشستگی، خرید خانه یا پس‌انداز تحصیلی کاربرد دارد. با استفاده از محاسبه ارزش فعلی و آتی پول، می‌توانید تصمیم بگیرید چقدر باید امروز سرمایه‌گذاری کنید تا در آینده به مبلغ مورد نیاز برسید.

برای مثال، اگر بخواهید در ۲۰ سال آینده مبلغ مشخصی برای خرید خانه پس‌انداز کنید، با استفاده از فرمول ارزش آتی پول می‌توانید بفهمید که با چه نرخ سودی پول شما در طول این مدت رشد خواهد کرد و چقدر باید امروز پس‌انداز کنید. این محاسبات به شما کمک می‌کند تا در مسیر رسیدن به اهداف مالی خود، برنامه‌ریزی بهتری داشته باشید.

فرمول محاسبه ارزش آتی پول (FV) همراه با مثال کاربردی

برای محاسبه ارزش آتی پول از فرمول زیر استفاده می‌کنیم:

ارزش زمانی پول

 در این فرمول:

  • PV همان مقدار پولی است که امروز سرمایه‌گذاری می‌کنید.
  • R نرخ سود یا بازده سالانه است.
  • N تعداد سال‌ها یا دوره‌هایی است که پول شما سرمایه‌گذاری می‌شود.

به‌ عنوان مثال، اگر امروز ۱۰۰۰ دلار سرمایه‌گذاری کنید و نرخ سود سالانه ۵٪ باشد، پس از ۳ سال ارزش آتی آن به این صورت محاسبه می‌شود:

چرا ارزش پول امروز با فردا یکسان نیست؟ نگاهی تحلیلی به مفهوم ارزش زمانی پول

این یعنی ۱۰۰۰ دلار امروز، پس از ۳ سال با نرخ سود ۵٪، به ۱۱۵۷.۶۳ دلار تبدیل می‌شود. این محاسبه به شما کمک می‌کند تا فرمول ارزش زمانی پول را برای پیش‌بینی رشد سرمایه‌گذاری‌ها و تصمیمات مالی استفاده کنید.

تفاوت ارزش آتی پول با ارزش فعلی پول

ارزش فعلی پول (PV) و ارزش آتی پول (FV) دو روی یک سکه هستند. ارزش فعلی پول مبلغ آینده را به ارزش امروز تبدیل می‌کند و آن را تخفیف می‌دهد، اما ارزش آتی پول، مبلغ امروز را با سود مرکب به آینده رشد می‌دهد.

مثال ساده با نرخ بهره ۸ درصد:

  • ارزش فعلی پول: ۱۰۰۰ دلار پنج سال دیگر، امروز حدود ۶۸۰ دلار ارزش دارد.
  • ارزش آتی پول: ۱۰۰۰ دلار امروز، پنج سال بعد حدود ۱۴۷۰ دلار می‌شود.

در تحلیل مالی، ارزش فعلی پول برای:

  • مقایسه پروژه‌ها؛
  • ارزش‌گذاری اوراق؛
  • یا محاسبه NPV استفاده می‌شود تا گزینه‌های با زمان متفاوت را برابر کنیم. 

در مقابل، ارزش آتی پول برای:

  • برنامه‌ریزی پس‌انداز بازنشستگی؛
  • یا پیش‌بینی رشد سرمایه‌گذاری‌ها کاربرد دارد. 

این تفاوت کمک می‌کند تا تصمیمات مالی را بر اساس زمان دقیق‌تر بگیرید.

کاربرد ارزش زمانی پول (TVM) در سرمایه‌گذاری و بازارهای مالی

ارزش زمانی پول یکی از مفاهیم کلیدی در تحلیل‌های مالی است که در بازارهای مالی به‌ ویژه در سرمایه‌گذاری‌ها، تصمیم‌گیری‌ها و قیمت‌گذاری‌های سهام و ارزها کاربرد دارد. این مفهوم به ما کمک می‌کند تا ارزش پول امروز را با توجه به تغییرات احتمالی در آینده بسنجیم و در تصمیمات مالی بهتر عمل کنیم.

تحلیل پروژه‌های سرمایه‌گذاری با ارزش زمانی پول

در تحلیل پروژه‌های سرمایه‌گذاری، از ارزش فعلی پول (PV) و ارزش آتی پول (FV) برای ارزیابی جریان‌های نقدی آینده استفاده می‌شود. با این ابزارها، می‌توان به‌ طور دقیق‌تری بررسی کرد که یک پروژه سرمایه‌گذاری چه بازدهی خواهد داشت و آیا ارزش صرف زمان و منابع دارد یا خیر.

شاخص‌های کلیدی مثل ارزش خالص فعلی (NPV) و IRR (یا نرخ بازده داخلی) به تحلیلگران کمک می‌کند تا به‌ طور دقیق ارزیابی کنند که آیا یک پروژه به‌صرفه است یا خیر. با استفاده از فرمول ارزش زمانی پول، می‌توان ارزش پول در آینده را محاسبه کرده و تصمیمات بهتری در زمینه بودجه‌بندی سرمایه‌گذاری اتخاذ کرد.

استفاده از ارزش زمانی پول در تصمیمات بورس و سهام

در بازار بورس، محاسبه ارزش فعلی و آتی پول به‌ ویژه برای قیمت‌گذاری سهام و ارزیابی سلامت مالی شرکت‌ها اهمیت دارد. سرمایه‌گذاران از این مفاهیم برای تحلیل جریان‌های نقدی شرکت‌ها و پیش‌بینی رشد آینده آن‌ها استفاده می‌کنند.

به‌طور مثال، در تحلیل تنزیل جریان نقدی، آینده‌نگری جریان‌های نقدی شرکت‌ها با توجه به نرخ بازده و ارزش فعلی آن‌ها انجام می‌شود. این روش‌ها به سرمایه‌گذاران این امکان را می‌دهند که سهام را ارزیابی کرده و تصمیمات هوشمندانه‌تری در خرید و فروش آن‌ها بگیرند.

تأثیر ارزش زمانی پول در معاملات فارکس

در بازار فارکس، تفاوت در نرخ بهره دو کشور می‌تواند تاثیر زیادی بر ارزش زمانی پول و قیمت‌گذاری ارزها داشته باشد. هنگامی که نرخ بهره در یک کشور بیشتر از کشور دیگر باشد، ارز آن کشور تمایل دارد ارزش بیشتری پیدا کند.

این تفاوت در نرخ‌ها می‌تواند فرصت‌های معاملاتی ایجاد کند و معامله‌گران از این تفاوت‌ها برای کسب سود استفاده می‌کنند. در معاملات فارکس، استفاده از ارزش زمانی پول در تحلیل نرخ‌های آتی و اسپات کمک می‌کند تا به‌ طور دقیق‌تری پیش‌بینی شود که کدام ارز در آینده رشد خواهد کرد.

مدیریت سرمایه و ریسک با محاسبات ارزش زمانی پول

ارزش زمانی پول نقش مهمی در مدیریت ریسک و سرمایه‌گذاری ایفا می‌کند. با محاسبه ارزش فعلی و ارزش آتی پول، سرمایه‌گذاران می‌توانند ریسک سرمایه‌گذاری‌های خود را بهتر مدیریت کنند و تصمیمات مالی بهتری بگیرند. برای مثال، استفاده از این محاسبات می‌تواند به تحلیلگران کمک کند تا سرمایه‌گذاری‌هایی با بازده بالا و ریسک کمتر شناسایی کنند.

همچنین ابزارهای مانند تحلیل حساسیت و استرس‌ تست بر اساس فرمول ارزش زمانی پول برای ارزیابی ریسک در شرایط مختلف استفاده می‌شوند. این تکنیک‌ها به سرمایه‌گذاران کمک می‌کنند تا در شرایط عدم قطعیت تصمیمات بهتری اتخاذ کنند.

چرا ارزش پول امروز با فردا یکسان نیست؟ نگاهی تحلیلی به مفهوم ارزش زمانی پول
sms-star

در معاملات و تحلیل‌های بلندمدت، درک درست ارزش زمانی پول به سرمایه‌گذاران امکان می‌دهد فرصت‌های سرمایه‌گذاری را بر اساس زمان‌بندی جریان‌های نقدی مقایسه کنند و نه فقط بر اساس مبلغ اسمی آنها.

نتیجه‌گیری

در این مقاله، اهمیت ارزش زمانی پول (TVM) به‌ طور کامل بررسی شد. این مفهوم پایه‌ای در تصمیم‌گیری‌های مالی است که به ما کمک می‌کند بفهمیم چرا پول امروز بیشتر از همان مبلغ در آینده ارزش دارد. با استفاده از ارزش فعلی پول (PV) و ارزش آتی پول (FV)، می‌توانیم ارزش پول را در زمان‌های مختلف محاسبه کرده و تصمیمات بهتری در زمینه سرمایه‌گذاری، پس‌انداز و ارزیابی پروژه‌ها بگیریم.

استفاده عملی از این مفاهیم به شما این امکان را می‌دهد که تصمیمات مالی آگاهانه‌تری بگیرید. با درک بهتر از اینکه چگونه پول امروز می‌تواند در آینده رشد کند یا ارزش آن کاهش یابد، می‌توانید سرمایه‌گذاری‌های بهتری انجام دهید و به اهداف مالی بلند مدت خود برسید. پس به یاد داشته باشید که هر تصمیم مالی که می‌گیرید باید با توجه به اصول ارزش زمانی پول انجام شود تا بیشترین بهره‌وری را از منابع مالی خود داشته باشید.

ادامه خواندن
not-found
calendar 15 بهمن 1404
rate banner
به این مقاله امتیاز بدهید
Plugin not installed

Leave a Reply

Your email address will not be published. Required fields are marked *

نه ممنون