icon icon Home
icon icon Accounts
icon icon Quick start
icon icon Symbols

اندیکاتور شاخص قدرت نسبی نوسان (RVI) چیست؟ آموزش کامل، تنظیمات و کاربردها

نویسنده
مسعود جزینی
مسعود جزینی
calendar آخرین بروزرسانی: 14 دی 1404
watch زمان مطالعه 2 دقیقه

اندیکاتور RVI یکی از ابزارهای مفید در تحلیل تکنیکال است که قدرت روند بازار را با توجه به تفاوت قیمت‌های باز و بسته‌شدن و همچنین نوسانات قیمت اندازه‌گیری می‌کند. این اندیکاتور به‌ ویژه برای تأیید روند و شبیه‌سازی شتاب حرکت قیمت کاربرد دارد.

در این مقاله، به بررسی تنظیمات اندیکاتور RVI، نحوه استفاده از آن در معاملات و استراتژی‌های مختلف مبتنی بر این اندیکاتور می‌پردازیم.

bookmark
نکات کلیدی
  • اندیکاتور RVI برای شبیه‌سازی شتاب روند و تأیید قدرت روند‌های صعودی و نزولی کاربرد دارد.
  • استفاده از RVI در ترکیب با اندیکاتورهای دیگر مانند MACD و RSI می‌تواند سیگنال‌های دقیق‌تری ارائه دهد.
  • تغییرات در پارامتر Period اندیکاتور RVI می‌تواند تأثیر زیادی بر سرعت و دقت سیگنال‌ها داشته باشد.
  • RVI در بازارهای روند‌دار عملکرد بهتری دارد و در بازارهای رنج می‌تواند سیگنال‌های کاذب تولید کند.

اندیکاتور شاخص قدرت نسبی نوسان (RVI) چیست و چه کاربردی دارد؟ 

اندیکاتور شاخص قدرت نسبی نوسان (RVI) یک اسیلاتور مومنتوم است که قدرت و جهت حرکت قیمت را با تمرکز بر نسبت تغییرات قیمت بسته شدن (Close) نسبت به قیمت باز شدن (Open) اندازه‌گیری می‌کند. برخلاف بسیاری از اسیلاتورهای سنتی که صرفاً روی قیمت پایانی تمرکز دارند، RVI میانگین وزنی چند دوره‌ای (معمولاً 10دوره‌ای) از تفاوت کلوز (Close) و اوپن (Open) را محاسبه می‌کند تا مشخص شود که روند غالب در بازار صعودی است یا نزولی و میزان قدرت آن چقدر است.

همانطور که در LuxAlgo بیان شده، فرض اصلی RVI این است که در روندهای صعودی، قیمت‌ها تمایل دارند در پایان دوره (Close) بالاتر از قیمت شروع (Open) بسته شوند و در روندهای نزولی، این نسبت برعکس است و قیمت پایانی پایین‌تر از قیمت آغازین قرار می‌گیرد. این مقایسه در طول چند دوره متوالی نوسان می‌کند و نتیجه آن یک خط اصلی RVI است که معمولاً با یک خط سیگنال میانگین متحرک مقایسه می‌شود تا سیگنال‌های خرید و فروش تولید شوند.

کاربردهای اصلی اندیکاتور RVI عبارتند از:

  • تأیید قدرت روند: تشخیص اینکه یک روند صعودی یا نزولی چقدر قوی و پایدار است.
  • شناسایی سیگنال‌های خرید و فروش: با استفاده از تقاطع خط اصلی اندیکاتور و خط سیگنال.
  • کشف واگرایی‌ها: شناسایی واگرایی مثبت و منفی بین قیمت و اندیکاتور که می‌تواند نشانه‌ای از بازگشت احتمالی روند باشد.

این اندیکاتور معمولاً در پایین نمودار قیمت نمایش داده می‌شود و شامل دو خط است که با هم در اطراف خط صفر نوسان می‌کنند. این دو خط عبارتند از:

  • خط اصلی RVI؛
  • و خط سیگنال که میانگین متحرک RVI است.
اندیکاتور RVI

اندیکاتور RVI چگونه کار می‌کند؟ 

برای به کارگیری مؤثر اندیکاتور RVI، درک مکانیزم داخلی آن ضروری است. همانطور که گفته شد، این اندیکاتور بر یک فرض ساده، اما قدرتمند استوار است: در یک روند صعودی، قیمت پایانی تمایل دارد نزدیک به بالاترین قیمت روز باشد و در یک روند نزولی، نزدیک به پایین‌ترین قیمت روز. این اندیکاتور این “تمایل” را به یک شاخص عددی قابل اندازه‌گیری تبدیل می‌کند.

برای این‌کار:

  •  ابتدا یک دوره زمانی (N) مشخص می‌شود.
  • سپس (قیمت بسته‌شدن منهای قیمت بازشدن) و (قیمت بالا منهای قیمت پایین) برای کندل جاری و کندل‌ها در دوره زمانی مورد نظر محاسبه شود.

(Close – Open)

(High – Low)

  • حال یک میانگین متحرک ساده N دوره‌ای برای (قیمت بسته‌شدن منهای قیمت بازشدن) و (قیمت بالا منهای قیمت پایین) گرفته می‌شود.
  • از تقسیم این دو، RVI به دست می‌آید و نتیجه آن به صورت یک نمودار در پنجره زیر چارت قیمت نمایش داده می‌شود.
  • سپس برای شفاف‌تر شدن تحلیل‌ها، یک خط سیگنال به‌ عنوان میانگین متحرک از خط RVI نیز محاسبه و در نمودار قیمت نمایش داده می‌شود که می‌تواند به عنوان ابزار فیلتر برای تصفیه سیگنال‌های معاملاتی به‌کار رود.

  فرمول محاسباتی اندیکاتور RVI 

​به نقل از Investopedia، فرمول محاسبه اندیکاتور RVI به شکل زیر است:

اندیکاتور RVI

در این کسر، Numerator همان (Close-open) و Denominator همان (High-Low) است، اما در محاسبه RVI، قیمت‌های OHLC به صورت میانگین از قیمت هر کندل و سه کندل قبلی آن با وزن (1-2-2-1) گرفته می‌شود، یعنی:

اندیکاتور RVI

     که در این فرمول‌ها:

aقیمت close منهای open کندل a
bقیمت close منهای open یک دوره قبل از کندل a
cقیمت close منهای open دو دوره قبل از کندل a
dقیمت close منهای open سه دوره قبل از کندل a
eقیمت high منهای Low کندل a
fقیمت high منهای Low یک دوره قبل از کندل a
gقیمت high منهای Low دو دوره قبل از کندل a
hقیمت high منهای Low سه دوره قبل از کندل a
sms-star

در فرمول اندیکاتور RVI، پارامتر N همان دوره (Periods) است که می‌تواند برحسب دقیقه، ساعت، روز، هفته یا ماه باشد.

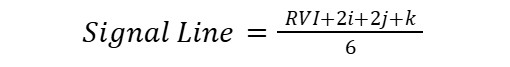
فرمول محاسبه خط سیگنال نیز به شرح زیر است:

اندیکاتور RVI

که در این فرمول:

RVIمقدار RVI برای کندل a
iمقدار RVI برای یک دوره قبل از کندل a
jمقدار RVI برای دو دوره قبل از کندل a
kمقدار RVI برای سه دوره قبل از کندل a

نقش قیمت باز شدن (Open) و بسته شدن (Close) در محاسبه RVI  

قیمت‌های باز و بسته شدن در محاسبه اندیکاتور RVI اهمیت زیادی دارند، زیرا تفاوت این دو نشان‌دهنده جهت‌گیری و شتاب روند است. به‌ طور کلی:

  • اگر قیمت کلوز بالاتر از قیمت اوپن باشد: این نشانه‌ای از افزایش فشار خرید است و به احتمال زیاد روند صعودی ادامه خواهد داشت.
  • اگر قیمت بسته‌شدن پایین‌تر از قیمت باز شدن باشد: این نشان‌دهنده افزایش فشار فروش است و روند نزولی ممکن است ادامه یابد.

 

 نحوه تشکیل خط اصلی و خط سیگنال RVI 

خطوط اصلی اندیکاتور RVI به شکل زیر تشکیل می‌شوند:

  1. خط اصلی (RVI) تفاوت‌ قیمت‌های OHLC و نوسانات بازار را به‌ طور مستقیم نمایش می‌دهد و نشان‌دهنده قدرت روند است. 
  2. خط سیگنال یک میانگین متحرک از خط اصلی RVI است که برای هموار کردن نوسانات و جلوگیری از سیگنال‌های اشتباه استفاده می‌شود.

نحوه تشخیص فشار خرید و فروش با اندیکاتور RVI 

فشار خرید و فروش در بازار به کمک اندیکاتور RVI قابل تشخیص است، بدین صورت که:

  • فشار خرید: زمانی که خط RVI به‌ طور مداوم بالاتر از خط سیگنال قرار بگیرد و در حال افزایش باشد، یعنی فشار خرید در بازار وجود دارد. فشار خرید معمولاً به معنی یک روند صعودی است.
  • فشار فروش: هنگامی که خط RVI به صورت مداوم پایین‌تر از خط سیگنال قرار بگیرد و در حال کاهش باشد، فشار فروش را نشان می‌دهد. وجود فشار فروش در بازار معمولا به معنای یک روند نزولی است.
sms-star

نزدیک شدن اندیکاتور RVI به نقاط بالا و پایین محدوده نوسان اندیکاتور، ممکن است نشانه‌ای از تغییر روند در آینده نزدیک باشد.

تنظیمات اندیکاتور RVI و نحوه بهینه‌سازی آن 

هر اندیکاتوری، برای ارائه بهترین عملکرد نیاز به تنظیمات متناسب با استراتژی معاملاتی دارد. در ادامه، با بهترین تنظیمات اندیکاتور برای بازارهای مختلف آشنا می شویم.   

تنظیمات پیش‌فرض اندیکاتور RVI

در تنظیمات پیش‌فرض اندیکاتور RVI در اکثر پلتفرم‌های معاملاتی، دوره (Periods) برابر با 10، خط RVI به رنگ سبز و خط سیگنال به رنگ قرمز در نظر گرفته می‌شود.

نقش پارامتر Period در سرعت و دقت سیگنال‌ها 

یکی از مهم‌ترین پارامترها در تنظیمات اندیکاتور RVI، دوره زمانی یا Period است. این پارامتر تعیین‌کننده تعداد کندل‌هایی است که در محاسبات اندیکاتور RVI لحاظ می‌شوند. تغییر پریود می‌تواند تأثیر زیادی بر سرعت و دقت سیگنال‌ها داشته باشد؛ به‌ نحوی که:

  • دوره زمانی کوتاه‌تر (مثلاً 4 یا 7): این تنظیم باعث می‌شود که اندیکاتور حساسیت بیشتری به نوسانات کوتاه‌ مدت بازار داشته باشد و سریع‌تر به تغییرات قیمت واکنش نشان دهد. این تنطیمات می‌تواند برای تریدهای کوتاه‌ مدت یا معاملات اسکالپ مفید باشد. با این حال، ممکن است این حساسیت بیشتر باعث سیگنال‌های اشتباه و نویز در بازار شود.
  • دوره زمانی طولانی‌تر (مثلاً 20 یا 30): این تنظیم باعث می‌شود که اندیکاتور نوسانات طولانی‌تر را شبیه‌سازی کند و سیگنال‌های به‌ دست‌ آمده کمتر، اما دقیق‌تر و مطمئن‌تر باشند. دوره زمانی طولانی برای استراتژی‌های بلند مدت‌ و بازارهای با روند ثابت مناسب‌تر است.

جدول نقش پارامتر Period در سرعت و دقت سیگنال‌ها

دوره زمانیسرعتحساسیتمزایاعیب
کوتاه‌تر (مثلاً 7 یا کمتر)سیگنال‌ها سریع‌تر صادر می‌شونداندیکاتور به نوسانات کوچک‌تر قیمت حساس‌تر می‌شودسرعت بیشتر، مناسب برای معاملات کوتاه‌مدت مانند اسکالپینگ یا بازارهای پرنوسانافزایش ریسک سیگنال‌های کاذب به دلیل نویزهای بازار
بلندتر (مثلاً 12 یا بیشتر)سیگنال‌ها با تأخیر بیشتری صادر می‌شونداندیکاتور نویزهای کوتاه‌مدت را بهتر فیلتر می‌کندافزایش دقت و قابلیت اطمینان سیگنال‌ها، مناسب برای معاملات بلندمدت مانند سوئینگ یا پوزیشن در بازارهای روند‌دارسیگنال‌ها با تأخیر بیشتر صادر می‌شوند
اندیکاتور شاخص قدرت نسبی نوسان (RVI) چیست؟ آموزش کامل، تنظیمات و کاربردها

بهترین تنظیمات RVI برای معاملات فارکس 

به نقل از Realtrading، از آنجا که بازار فارکس بازاری 24 ساعته است، پیدا کردن قیمت‌های OHLC و در نتیجه، محاسبه اندیکاتور RVI دشوار و نیازمند تنظیمات دقیق است. بسته به اینکه سبک معاملاتی تریدر چیست، برای اندیکاتور RVI در بازار فارکس می‌توان تنظیمات زیر را انجام داد:

  • برای اسکالپرها و معامله‌گران روزانه: استفاده از دوره‌های زمانی کوتاه‌تر مانند 8 یا حتی کمتر می‌تواند به ثبت سریع‌تر سیگنال‌ها کمک کند. این تنظیمات به معامله‌گر اجازه می‌دهد از حرکات کوتاه‌ مدت و سریع قیمت بهره‌مند شود.
  • برای معامله‌گران سوئینگ: در سوئینگ تریدینگ، تنظیمات پیش‌فرض (Period 10) یا کمی بلندتر (Period 12) معمولاً نتایج بهتری ارائه می‌دهند. این تنظیمات به خوبی نویزهای روزانه را فیلتر کرده و سیگنال‌های مطابق با روند میان‌ مدت را شناسایی می‌کنند.
sms-star

نکته مهم:
در بازار فارکس، بهینه‌سازی باید بر اساس جفت‌ ارز مورد معامله انجام شود. برای مثال، جفت‌ ارزهای اصلی (Majors) مانند EUR/USD ممکن است با تنظیمات پیش‌فرض به خوبی عمل کنند، در حالی که جفت‌ ارزهای اگزوتیک به دلیل نوسانات غیرقابل پیش‌بینی، نیازمند بازنگری در این پارامترها باشند.

تنظیمات اندیکاتور RVI برای بازار سهام 

از آنجا که بازار سهام در ساعت‌های مشخصی باز و بسته می‌شود، محاسبه RVI برای آن بسیار ساده‌تر از بازار ارزهای خارجی (فارکس) است. این بازار معمولاً روندهای بلند مدت‌تر و با نوسانات کمتری نسبت به فارکس دارد. بنابراین:

  • برای معاملات کوتاه‌ مدت روی سهام پرنوسان: می‌توان از تنظیمات مشابه فارکس با دوره‌های زمانی کوتاه‌تر استفاده کرد.
  • برای معاملات بلند مدت و سرمایه‌گذاری: افزایش پارامتر Period به 12، 14 یا حتی 16 می‌تواند بسیار کارآمد باشد. این تنظیمات به معامله‌گر کمک می‌کند تا در روند اصلی سهام باقی بماند و از سیگنال‌های خروج زود هنگام ناشی از نوسانات مقطعی جلوگیری کند.

چه زمانی باید تنظیمات RVI را تغییر داد؟

تغییر تنظیمات اندیکاتور RVI بایستی بر اساس یک رویکرد سیستماتیک و منطقی انجام شود. زمانی که با سناریوهای زیر مواجه شدید، بهینه‌سازی تنظیمات RVI ضروری است:

  • تغییر شرایط بازار: وقتی بازار از حالت روند‌دار به حالت رنج یا برعکس تغییر می‌کند، تنظیمات قبلی ممکن است کارایی خود را از دست بدهند.
  • تغییر استراتژی معاملاتی: هر نوع تنظیمات اندیکاتور RVI، برای یک سبک معاملاتی بهینه است. به‌ عنوان مثال، اگر از ترید روزانه به معامله‌گری سوئینگ روی بیاورید، باید پارامترهای اندیکاتور RVI را برای مطابق با افق زمانی جدید خود افزایش دهید.
  • عملکرد ضعیف در بک‌ تست: اگر پس از آزمایش استراتژی خود در بک تست، متوجه شدید که تنظیمات فعلی سیگنال‌های ضعیف یا زیادی تولید می‌کند، زمان بهینه‌سازی فرا رسیده است.
sms-star

به طور کلی، اندیکاتور RVI در بازارهای رونددار بسیار بهتر و دقیق‌تر از بازارهای رنج عمل می‌کند.

نحوه استفاده از اندیکاتور RVI در معاملات 

در این بخش از مقاله، با ما همراه باشید تا نحوه استفاده از اندیکاتور RVI در معاملات و تفسیر سیگنال‌های آن را بررسی کنیم.

نحوه تفسیر تقاطع خط RVI و خط سیگنال  

یکی از رایج‌ترین روش‌ها برای استفاده از اندیکاتور RVI، تفسیر تقاطع خط RVI و خط سیگنال است. این تقاطع‌ها به‌ عنوان سیگنال‌های خرید و فروش استفاده می‌شوند:

  • تقاطع صعودی (Bullish Crossover): هنگامی که خط RVI از پایین به‌ سمت بالا از خط سیگنال عبور کند، این یک سیگنال خرید محسوب می‌شود. این تقاطع نشان‌دهنده قدرت گرفتن روند صعودی است و می‌تواند زمان مناسبی برای ورود به بازار باشد.
  • تقاطع نزولی (Bearish Crossover): هنگامی که خط RVI از بالا به‌ سمت پایین از خط سیگنال عبور کند، این یک سیگنال فروش محسوب می‌شود. این تقاطع معمولاً زمانی اتفاق می‌افتد که روند نزولی آغاز می‌شود و می‌تواند زمان مناسبی برای خروج از بازار یا باز کردن موقعیت فروش باشد.
اندیکاتور RVI

نحوه تفسیر سیگنال‌های عبور RVI از سطح صفر  

سیگنال‌های عبور اندیکاتور RVI از سطح صفر نیز یکی از سیگنال‌های مهم در تحلیل بازار به‌ کمک این اندیکاتور است. این عبورها می‌توانند نشانه‌هایی از تغییر روند باشند:

  • عبور از سطح صفر به بالا: هنگامی که خط RVI از سطح صفر به‌ سمت بالا عبور می‌کند، نشان‌دهنده افزایش قدرت روند صعودی و سیگنال خرید است.
  • عبور از سطح صفر به پایین: هنگامی که خط RVI از سطح صفر به‌ سمت پایین عبور می‌کند، نشان‌دهنده افزایش فشار فروش، آغاز احتمالی روند نزولی و سیگنال فروش است.

این عبورها در بسیاری از مواقع به‌ عنوان تایید‌کننده سیگنال‌های دیگر اندیکاتورها (مانند MACD یا RSI) استفاده می‌شوند و می‌توانند دقت تحلیل‌ها را افزایش دهند.

 

       نحوه تشخیص قدرت و ضعف روند با استفاده از اندیکاتور RVI  

  • در صورتی که خط RVI و خط سیگنال به صورت مستمر در حال افزایش باشند می‌توان گفت که بازار صعودی است. در این وضعیت، حرکت مداوم خط RVI بالاتر از خط صفر، می‌تواند به قدرت روند تفسیر شود.
  • در مقابل، کاهش مستمر خطوط سیگنال و RVI، نشانه روند نزولی است. در این وضعیت، اگر خط RVI به صورت مداوم زیر خط صفر بماند، به معنای فشار فروش قوی و قدرت روند نزولی است.
  • نوسان خطوط اندیکاتور نزدیک به خط صفر، می‌تواند به ضعف روند و بازار رنج تفسیر شود.
اندیکاتور شاخص قدرت نسبی نوسان (RVI) چیست؟ آموزش کامل، تنظیمات و کاربردها

خطاهای رایج در استفاده از اندیکاتور RVI  

در کنار کاربردهای مفید اندیکاتور RVI، برخی معامله‌گران به دلیل عدم درک صحیح یا استفاده نادرست از آن دچار خطا می‌شوند. آگاهی از این اشتباهات می‌تواند به افزایش دقت تحلیل‌ها کمک کند:

  • استفاده از RVI به تنهایی: هرگز معامله را بر اساس یک اندیکاتور به تنهایی انجام ندهید. اندیکاتور RVI باید در کنار سایر ابزارهای تحلیل تکنیکال مانند خطوط روند، سطوح حمایت و مقاومت، یا سایر اندیکاتورها مانند مکدی (MACD) استفاده شود.
  • نادیده گرفتن شرایط بازار: سیگنال‌های تقاطع در یک بازار رنج قابل اعتماد نیستند. بنابراین، همواره ساختار کلی بازار را در نظر بگیرید.
  • بهینه‌سازی بیش از حد تنظیمات: تغییر مداوم پارامترهای اندیکاتور برای تطبیق با داده‌های تاریخی می‌تواند منجر به عملکرد ضعیف در معاملات زنده شود. به‌ جز در مواردی که دلیل فنی و تست‌ شده‌ای داشته باشید، به تنظیمات استاندارد پایبند باشید.
  • پیگیری سیگنال‌های کاذب در بازارهای بدون روند: در بازارهای نوسانی و بدون جهت، اندیکاتور RVI ممکن است سیگنال‌های اشتباه متعددی تولید کند. در این شرایط، بهتر است از فیلترهای بیشتری استفاده کرده یا از معامله خودداری کنید.

استراتژی‌های معاملاتی مبتنی بر اندیکاتور RVI 

در ادامه مقاله، به بررسی سه استراتژی معاملاتی رایج مبتنی بر اندیکاتور RVI خواهیم پرداخت:

  • استراتژی تقاطع  RVI؛
  • استراتژی دنبال‌کننده روند با RVI ؛
  • استراتژی معاملات خلاف روند با RVI. 

 استراتژی معاملاتی تقاطع RVI 

یکی از استراتژی‌های رایج برای استفاده از اندیکاتور RVI، استراتژی تقاطع خط RVI و خط سیگنال است. در این استراتژی:

  • سیگنال خرید: وقتی صادر می‌شود که تقاطع صعودی رخ دهد و خط RVI از پایین به بالای خط سیگنال عبور کند.
  • سیگنال فروش: وقتی صادر می‌شود که تقاطع نزولی رخ دهد و خط RVI از بالا به پایین خط سیگنال عبور کند.
اندیکاتور RVI

استراتژی دنبال‌کننده روند با RVI 

استراتژی دنبال‌کننده روند با اندیکاتور RVI برای شناسایی و پیروی از روندهای موجود در بازار طراحی شده است. در این استراتژی، معامله‌گران در جهت روند اصلی بازار وارد می‌شوند و تا زمانی که روند ادامه داشته باشد، در معامله می‌مانند. بدین ترتیب:

  • ورود به معامله خرید: 
    • وقتی اندیکاتور شروع به افزایش کرد، وارد معامله خرید شوید.
    • تا زمانی که روند صعودی اندیکاتور ادامه دارد، می‌توانید معامله خود را باز نگه دارید.

  • خروج از بازار: وقتی خطوط اندیکاتور شروع به کاهش کردند، معامله خرید را ببندید و یا وارد پوزیشن شورت شوید.

این استراتژی به‌ ویژه برای بازارهای روند‌دار مناسب است و می‌تواند در بازه‌های زمانی بلندتر موثرتر عمل کند.

اندیکاتور RVI

 استراتژی معاملات خلاف روند با RVI  

استراتژی بعدی، بر واگرایی نمودار قیمت و اندیکاتور استوار است؛ یعنی وقتی که قیمت و اندیکاتور RVI در خلاف جهت هم حرکت می‌کنند. در این حالت:

  • واگرایی مثبت: زمانی اتفاق می‌افتد که قیمت در حال ساختن کف‌های پایین‌تر است، درحالی‌که RVI کف‌های بالاتر می‌سازد. این وضعیت، نشانه کاهش فشار فروش و سیگنال خرید است.
  • واگرایی منفی: اگر قیمت سقف‌های بالاتر بزند، اما اندیکاتور RVI در حال ساختن سقف‌های پایین‌تر باشد، این وضعیت نشانه کاهش فشار خرید و سیگنال فروش است.
اندیکاتور RVI

نحوه نصب و فعال‌سازی اندیکاتور RVI در متاتریدر 4

از آنجا که اندیکاتور RVI جزو اندیکاتورهای پیش‌فرض در متاتریدر4 نیست، برای نصب و فعال‌سازی این اندیکاتور مراحل زیر را طی کنید:

  • ابتدا فایل mq4. اندیکاتور را از منابع معتبر مانند MQL5 دانلود کنید.
  • فایل به صورت خودکار در فولدر mql4 در سیستم کامپیوتر  شما ذخیره می‌شود.
اندیکاتور RVI
  • اکنون متاتریدر 4 را باز کرده و از سربرگ File/ Open Data Folder را انتخاب کنید.
  • در پوشه mql4، فایل اندیکاتور RVI را پیدا کرده و روی آن کلیک کنید.
  • کد اندیکاتور در متا ادیتور باز می‌شود؛ روی گزینه Compile کلیک کنید تا فایل کامپایل شود.
اندیکاتور شاخص قدرت نسبی نوسان (RVI) چیست؟ آموزش کامل، تنظیمات و کاربردها
  • حال متاادیتور را ببندید و پلتفرم متاتریدر را نیز ریستارت کنید.
  • اکنون از منوی Indicators/Oscillators، روی اندیکاتور Relative Vigor Index کلیک کنید.
اندیکاتور RVI
  • در کادر باز شده تنظیمات دلخواه را انجام داده و روی Ok کلیک کنید تا اندیکاتور به چارت قیمت افزوده شود.
اندیکاتور شاخص قدرت نسبی نوسان (RVI) چیست؟ آموزش کامل، تنظیمات و کاربردها
اندیکاتور RVI

تفاوت اندیکاتور RVI و RSI 

اگرچه هر دو اسیلاتور مومنتوم هستند، اما فلسفه محاسباتی آن‌ها کاملاً متفاوت است. درک این تفاوت به معامله‌گر کمک می‌کند تا از هر ابزار در جای درست خود استفاده کند.
  • اندیکاتور RSI (شاخص قدرت نسبی): این اندیکاتور بر اساس سرعت و تغییرات قیمت کار می‌کند. RSI میانگین سودها و زیان‌های قیمتی را در یک دوره زمانی مشخص مقایسه می‌کند تا وضعیت اشباع خرید و فروش را نشان دهد. تمرکز اصلی RSI بر روی قدرت نسبی حرکات صعودی در مقابل نزولی است.
  • اندیکاتور RVI (شاخص قدرت نسبی نوسان): این شاخص بر اساس “قاطعیت” یا “شور” (Vigor) حرکت قیمت عمل می‌کند. RVI با مقایسه قیمت پایانی (Close) با قیمت آغازین (Open) در هر کندل و تقسیم آن بر محدوده نوسان (High-Low)، می‌سنجد که آیا خریداران یا فروشندگان با قدرت و اطمینان کامل کنترل بازار را در دست دارند.
sms-star

به طور خلاصه، RSI به ما می‌گوید یک حرکت چقدر سریع بوده است، در حالی که RVI نشان می‌دهد که آن حرکت چقدر با قدرت و قاطعیت صورت گرفته است.

اندیکاتور RVI

تفاوت ساختاری اندیکاتور RVI و MACD 

تفاوت بین اندیکاتورهای RVI و مکدی عمیق‌تر است و به ماهیت روند‌دار بودن در مقابل نوسان‌گر بودن بازمی‌گردد.

  • اندیکاتور MACD (مکدی): یک اندیکاتور دنبال کننده روند است که از طریق محاسبه رابطه بین دو میانگین متحرک نمایی (EMA) کار می‌کند. اجزای اصلی آن شامل خط MACD، خط سیگنال و هیستوگرام است که همگی حول محور صفر نوسان می‌کنند و برای شناسایی جهت و قدرت روند عالی هستند.
  • اندیکاتور RVI: یک نوسان‌ساز (Oscillator) است که مانند RSI در یک محدوده مشخص و حول یک خط میانی نوسان می‌کند. تمرکز آن نه بر روند کلی، بلکه بر قدرت درونی هر کندل قیمتی است.
sms-star

MACD برای شناسایی شروع و ادامه یک روند مناسب‌تر است، در حالی که RVI برای ارزیابی اینکه آیا روند فعلی از قدرت کافی برخوردار است یا در حال ضعیف شدن، کارآمدتر عمل می‌کند.

اندیکاتور RVI

چه زمانی RVI نسبت به سایر اندیکاتورها برتری دارد؟

اندیکاتور RVI نسبت به سایر اندیکاتورها مانند RSI و MACD مزایای خاص خود را دارد و در برخی شرایط می‌تواند عملکرد بهتری داشته باشد:

  • شبیه‌سازی شتاب روند: در مقایسه با سایر اندیکاتورها، RVI به‌ طور خاص برای شبیه‌سازی شتاب روند به‌کار می‌رود و می‌تواند سیگنال‌های قابل‌ اعتمادتر برای تغییرات سریع روند ایجاد کند.
  • تأیید قدرت روند: وقتی یک روند مشخص (صعودی یا نزولی) در حال شکل‌گیری است، RVI می‌تواند تأیید کند که آیا این حرکت با شور و قاطعیت همراه است یا صرفاً یک حرکت ضعیف است.
  • شناسایی واگرایی‌های قدرتمند: واگرایی بین قیمت و اندیکاتور RVI اغلب بسیار معنادار است، زیرا نشان‌ دهنده ضعف در قاطعیت حرکت قیمت است که می‌تواند پیش‌ درآمد یک بازگشت قوی باشد.
  • بازارهای با سشن معاملاتی مشخص: در بازارهایی مانند سهام که هر روز با قیمت آغازین جدیدی شروع می‌شود، تمرکز RVI بر رابطه قیمت باز و بسته شدن می‌تواند اطلاعات ارزشمندی را در مورد احساسات بازیگران بازار در طول روز ارائه دهد.

ترکیب اندیکاتور RVI با پرایس اکشن 

استفاده از RVI همراه با پرایس اکشن می‌تواند به معامله‌گران کمک کند تا سیگنال‌های دقیق‌تری برای ورود و خروج از بازار شبیه‌سازی کنند. در این ترکیب:

  • RVI می‌تواند به‌عنوان تأییدکننده روند و شتاب قیمت عمل کند.
  • پرایس اکشن می‌تواند نقاط برگشت یا ادامه روند را از طریق تحلیل الگوهای قیمتی (مانند کندل‌ استیک‌ها، الگوهای بازگشتی و الگوهای ادامه‌دهنده) شناسایی کند.

به‌ عنوان مثال، اگر RVI سیگنال خرید دهد (خط RVI از خط سیگنال عبور کند) و همزمان در پرایس اکشن یک الگوی کندل صعودی مشاهده شود، این می‌تواند سیگنال معتبرتری برای خرید باشد.

مزایا و محدودیت‌های اندیکاتور نوسان نسبی RVI

اندیکاتور RVI مزایا و محدودیت‌هایی دارد که معامله‌گران باید به آن توجه داشته باشند:

مزایای اندیکاتور RVI

  • حساسیت بالا به نوسانات کوتاه‌ مدت: RVI می‌تواند به‌ طور مؤثری نوسانات کوتاه‌ مدت بازار را شبیه‌سازی کند.
  • شبیه‌سازی دقیق شتاب روند: این اندیکاتور توانایی شبیه‌سازی شتاب روند را به‌ خوبی دارد و می‌تواند سیگنال‌های دقیقی ارائه دهد.
  • ترکیب با سایر اندیکاتورها: RVI به‌ راحتی با دیگر ابزارهای تحلیل تکنیکال مانند MACD و RSI ترکیب می‌شود و دقت سیگنال‌ها را افزایش می‌دهد.

محدودیت‌های اندیکاتور RVI

  • حساسیت به نویز بازار: به دلیل حساسیت بالا به نوسانات قیمت، RVI ممکن است در بازارهای بی‌ثبات و نوسانی سیگنال‌های کاذب تولید کند.
  • عدم توجه به حجم معاملات: برخلاف برخی اندیکاتورهای دیگر مانند اندیکاتور OBV، اندیکاتور RVI حجم معاملات را در نظر نمی‌گیرد و ممکن است برای تحلیل کامل روند بازار کافی نباشد.

نتیجه‌گیری

استفاده از اندیکاتور RVI می‌تواند به معامله‌گران کمک کند تا سیگنال‌های دقیق‌تری برای شناسایی روند و واگرایی‌ها دریافت کنند. با تنظیمات صحیح و ترکیب این اندیکاتور با سایر ابزارهای تحلیل تکنیکال، می‌توان استراتژی‌های معاملاتی موثری ایجاد کرد که به افزایش دقت و کاهش ریسک در معاملات منجر شود.

ادامه خواندن
not-found
calendar 14 دی 1404
rate banner
به این مقاله امتیاز بدهید
Plugin not installed

Leave a Reply

Your email address will not be published. Required fields are marked *

نه ممنون